2992. Diatrizoate Sodium

Nomenclature

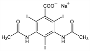
CAS number: 737-31-5
3,5-Bis(acetylamino)-2,4,6-triiodobenzoic acid sodium salt; 3,5-diacetamido-2,4,6-triiodobenzoic acid sodium salt; sodium 3,5-diacetamido-2,4,6-triiodobenzoate; urografic acid sodium salt; sodium amidotrizoate; sodium diatrizoate; Hypaque Sodium (Winthrop); Triognost (Teva).
C11H8I3N2NaO4; mol wt 635.90.
C 20.78%, H 1.27%, I 59.87%, N 4.41%, Na 3.62%, O 10.06%.

Description and references

Prepn of the acid: Larsen et al., J. Am. Chem. Soc. 78, 3210 (1956). Description: Langecker et al., Arch. Exp. Pathol. Pharmakol. 222, 584 (1954). Use in separation of leukocytes from whole blood: R. J. Perper et al., J. Lab. Clin. Med. 72, 842 (1968); L. P. Bignold, A. Ferrante, J. Immunol. Methods 96, 29 (1987); J. R. Kalmar et al., ibid. 110, 275 (1988). Comprehensive description: H. H. Lerner, Anal. Profiles Drug Subs. 4, 137-167 (1975).

Chemical structure

Properties

Rhombic needles, slightly salty taste, mp 261-262° (dec). Soly in water at 20°: 60 g/100 ml. pH of a 50% aq soln 7.0 to 7.5. On chilling solns may become cloudy or form a precipitate which disappears at room temp. Solns may be sterilized by autoclaving. Should be protected from light. LD50 i.v. in rats: 14.7 g/kg (Langecker).

Derivative

Free acid.

Properties

Crystals from dil DMF, mp >300°.

Note

See also Meglumine Diatrizoate.

Use

Density gradient reagent for blood cell separation.

Therapeutic Category

Diagnostic aid (radiopaque medium).

Therapeutic Category (Veterinary)

Diagnostic aid (radiopaque medium).

Keywords

Diagnostic Aid (Radiopaque Medium)