2995. Diazinon

Nomenclature

CAS number: 333-41-5
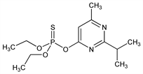
Phosphorothioic acid O,O-diethyl O-[6-methyl-2-(1-methylethyl)-4-pyrimidinyl] ester; O,O-diethyl O-2-isopropyl-6-methylpyrimidin-4-yl phosphorothioate; O,O-diethyl O-[6-methyl-2-(1-methylethyl)-4-pyrimidinyl] phosphorothioate; diethyl 2-isopropyl-4-methyl-6-pyrimidyl thionophosphate; dimpylate; G-24480; Basudin (Zagro); Diazol (Makhteshim-Agan); Neocidol (Zagro).
C12H21N2O3PS; mol wt 304.35.
C 47.36%, H 6.95%, N 9.20%, O 15.77%, P 10.18%, S 10.54%.

Description and references

Organophosphate insecticide; cholinesterase inhibitor. Prepn: H. Gysin, A. Margot, US 2754243 (1956 to Geigy). Insecticidal properties: Gasser, Z. Naturforsch. 8b, 225 (1953). GC-MS determn in soil: M. S. Díaz-Cruz, D. Barceló, J. Chromatogr. A 1132, 21 (2006) DOI PubMed. Toxicity data: T. B. Gaines, Toxicol. Appl. Pharmacol. 14, 515 (1969) DOI PubMed. Review of toxicology and human exposure: Toxicological Profile for Diazinon (PB97-121107, 1996) 245 pp.

Chemical structure

Properties

Liquid. Faint ester-like odor. d420 1.116-1.118. bp0.002 83-84°. nD20 1.4978-1.4981. Lop P (octanol/water): 3.3. Vapor pressure at 20°: 1.4×10-4; at 40°: 1.1×10-3 (≈5 times vapor pressure of parathion). Volatility at 20°: 2.4 mg/m3; at 40°: 17.6 mg/m3. Decomposes above 120°. Soly in water at 20°: 0.004%. Miscible with alcohol, ether, petr ether, cyclohexane, benzene, and similar hydrocarbons. More stable in alkaline formulations, than when at neutral or acid pH. LD50 in male, female rats (mg/kg): 250, 285 orally (Gaines).

Caution

Potential symptoms of overexposure are eye irritation; miosis, blurred vision; dizziness, confusion, weakness, convulsions; dyspnea; salivation, abdominal cramps, nausea, vomiting. See NIOSH Pocket Guide to Chemical Hazards (DHHS/NIOSH 97-140, 1997) p 92.

Use

Insecticide.

Therapeutic Category (Veterinary)

Ectoparasiticide.