E. Bénary, Ber. 63, 1573 (1930); 64, 2543 (1931).
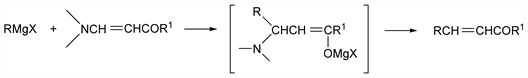
Action of Grignard reagents on enamino ketones or aldehydes yields β-substituted α,β-unsaturated ketones or aldehydes:

T. Cuvigny, H. Normant, Bull. Soc. Chim. Fr. 1960, 515. Use of lithio derivatives instead of Grignard reagents: C. Jutz, Ber. 91, 1867 (1958). Mechanism: A. Pasteur et al., Bull. Soc. Chim. Fr. 1965, 2328.