3038. Dibutyltin Dilaurate

Nomenclature

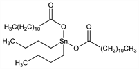
CAS number: 77-58-7
Dodecanoic acid 1,1′-(dibutylstannylene) ester; dibutylbis[(1-oxododecyl)oxy]stannane; dibutylbis(lauroyloxy)tin; butynorate; tinostat.
C32H64O4Sn; mol wt 631.56.
C 60.86%, H 10.21%, O 10.13%, Sn 18.80%.

Description and references

Prepn: Sheverdina et al., Khim. Prom. 1962 (10), 707, C.A. 59, 8776f (1963); FR 1320473 (1963 to Noury & van der Lande), C.A. 59, 8789b (1963), corresp to GB 975369. Compd claimed but not described: Eberly, US 2560034 (1951 to Firestone). Determn in poultry feeds: G. M. George et al., J. AOAC Int. 60, 1054 (1977).

Chemical structure

Properties

Soft crystals or yellow liq, mp 22-24° (Sheverdina). nD20 1.4683, (FR 1320473). Practically insol in water, methanol. Sol in petr ether, benzene, acetone, carbon tetrachloride, ether, organic esters.

Use

Stabilizer for polyvinyl chloride resins. Catalyst for curing certain silicones.

Therapeutic Category (Veterinary)

Anthelmintic (vs. chicken tapeworms).