Home
>
The Merck Index
>
Monographs
>
D
>
DI
Previous page
Related articles
Next page
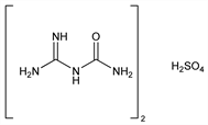
3093. Dicyanodiamidine Sulfate
Nomenclature
CAS number:
591-01-5
(Aminoiminomethyl)urea sulfate (2:1); biuretamidine sulfate; carbamylguanidine sulfate; guanylurea sulfate.
C
4
H
14
N
8
O
6
S; mol wt 302.27.
C 15.89%, H 4.67%, N 37.07%, O 31.76%, S 10.61%.
Description and references
Prepd by heating dicyanodiamide with H
2
SO
4
and H
2
O.
Derivative
Dihydrate
.
Properties
White needles. At 110° loses its water. Sol in about 20 parts cold, 3 parts boiling water; slightly sol in alc.
Use
For detecting and determining Ni and its separation from Co and other metals.
Previous: Dicyanodiamide
|
Top
|
Next: 9-Dicyanomethylene-2,4,7-trinitrofluorene