3124. Diethylmalonic Acid

Nomenclature

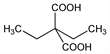
CAS number: 510-20-3
Diethylpropanedioic acid; 3,3-pentanedicarboxylic acid.
C7H12O4; mol wt 160.17.
C 52.49%, H 7.55%, O 39.96%.

Description and references

Prepn: Daimler, Ann. 249, 173 (1888); Speck, J. Am. Chem. Soc. 74, 2876 (1952). Spectral studies: J. L. Delarbre et al., J. Raman Spectrosc. 16, 11 (1985). Crystal structure: A. Dubourg et al., Acta Crystallogr. C44, 1987 (1988).

Chemical structure

Properties

Crystals, mp 127°. Dec at 170-180° with liberation of CO2 and formation of diethylacetic acid. Very sol in water; freely sol in alcohol, ether, slightly in chloroform.