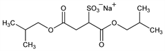
3194. Diisobutyl Sodium Sulfosuccinate

Nomenclature

CAS number: 127-39-9
Sulfosuccinic acid diisobutyl ester S-sodium salt; Aerosol IB; Alphasol IB.
C12H21NaO7S; mol wt 332.35.
C 43.37%, H 6.37%, Na 6.92%, O 33.70%, S 9.65%.

Description and references

The isobutyl or butyl or 1-methylpropyl diester of the monosodium salt of sulfosuccinic acid or a mixture of all three esters. Wetting agent prepd by the action of the appropriate alcohols on maleic anhydride followed by addition of sodium bisulfite: Jaeger, US 2028091; US 2176423; GB 446568; FR 776495.

Chemical structure

Properties

The mixture of the three esters is available as a white, powder-like, easily grindable material. Soly in water at 25°: 760 g/l; at 60°: 804 g/l. Maximum concn of electrolyte soln in which 1% of the wetting agent is sol: 20% NaCl; 20% NH4Cl; 30% NaNO3; 20% Na2SO4. Also sol in glycerol, pine oil, oleic acid. Insol in acetone, kerosene, liquid petrolatum, carbon tetrachloride, 2B ethanol, benzene, olive oil. Surface tension (dynes/cm) in water: 0.001% = 72.2; 0.1% = 67.5; 0.5% = 53.4; 1% = 49.1. Interfacial tension 1% in water vs. liquid petrolatum: 10 seconds = 32.5 dynes/cm; 30 seconds = 32.3 dynes/cm; 15 minutes = 31.2 dynes/cm. Stable in acid and neutral solns; hydrolyzes in alkaline solns.

Caution

Irritating to eyes, mucous membranes.

Use

Wetting agent.