3510. Edifenphos

Nomenclature

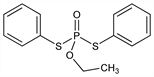
CAS number: 17109-49-8
Phosphorodithioic acid O-ethyl S,S-diphenyl ester; O-ethyl S,S-diphenyl phosphorodithioate; EDDP; ediphenphos; Bayer 78418; Hinosan (Bayer).
C14H15O2PS2; mol wt 310.37.
C 54.18%, H 4.87%, O 10.31%, P 9.98%, S 20.66%.

Description and references

Prepn: NL 6611860; G. Schrader et al., US 3499951 (1967, 1970 both to Bayer). Degradn in soil: C. Tomizawa et al., J. Environ. Sci. Health B11, 231 (1976). Metabolism: I. Ueyama et al., Agric. Biol. Chem. 42, 885 (1978). Mechanism of action: O. Kodama et al., ibid. 44, 1015 (1980). Toxicology: T. S. Chen et al., Toxicol. Appl. Pharmacol. 23, 519 (1972).

Chemical structure

Properties

Clear yellow to light-brown liquid, bp0.01 154°. d420 1.23; nD22 1.61. Practically insol in water. Sol in acetone, xylene. LD50 in female, male rats (mg/kg): 25.5, 66.5 i.p. (Chen).

Use

Fungicide.