3534. Elaiomycin

Nomenclature

CAS number: 23315-05-1
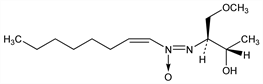
4-Methoxy-3-(1-octenyl-ONN-azoxy)-2-butanol; (2S,3S)-4-methoxy-3-(1′-cis-octenyl-cis-azoxy)-2-butanol; d-threo-4-methoxy-3-(1-octenylazoxy)-2-butanol.
C13H26N2O3; mol wt 258.36.
C 60.43%, H 10.14%, N 10.84%, O 18.58%.

Description and references

Antibiotic substance produced by Streptomyces hepaticus: Haskell et al., Antibiot. Chemother. 4, 141 (1954); Ehrlich et al., ibid. 338; Anderson et al., ibid. 6, 100 (1956). Inhibits the growth of Mycobacterium tuberculosis var. hominis in vitro: Karlson, ibid. 12, 446 (1962). Reported to have carcinogenic activity: Schoental, Nature 221, 765 (1969). Structure: Stevens et al., J. Am. Chem. Soc. 78, 3229 (1956); 80, 6088 (1958). Configuration: Stevens et al., ibid. 81, 1435 (1959); McGahren, Kunstmann, ibid. 92, 1587 (1970). Total synthesis: R. A. Moss, M. Matsuo, ibid. 99, 1643 (1977). Biosynthesis: R. J. Parry et al., ibid. 104, 339 (1982).

Chemical structure

Properties

Pale yellow oil. Stable to air. [α]D26 +38.4° (c = 2.8 in abs ethanol). nD25 1.4798. uv max: 237.5 nm (E1%1cm 428). Sparingly sol in water; sol in practically all of the common organic solvents. Stable in neutral or slightly acidic aq solns. Dec into a yellow product when dissolved in 0.1N NaOH.

Derivative

Acetate.
C15H28N2O4; mol wt 300.39.
C 59.98%, H 9.40%, N 9.33%, O 21.30%.

Properties

Oily liquid, bp0.5 84-90°. [α]D27 +25.3° (c = 3 in alc). uv max (alc): 237.5 nm (ε 11000).