3554. Emamectin

Nomenclature

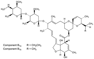
CAS number: 137335-79-6; 121124-29-6 (major component) ; 121424-52-0 (minor component)
(4″R)-5-O-demethyl-4″-deoxy-4″-(methylamino)avermectin A1a and (4″R)-5-O-demethyl-25-de(1-methylpropyl)-4″-deoxy-4″-(methylamino)-25-(1-methylethyl)avermectin A1a (9:1).

Description and references

Mixture of semi-synthetic avermectins, q.v., consisting (9:1) of 4″-epi-(methylamino)-4″-deoxyavermectin B1a, ( C49H75NO13 ) and 4″-epi-(methylamino)-4″-deoxyavermectin B1b, ( C48H73NO13 ). Prepn: H. Mrozik, US 4874749 (1989 to Merck & Co.); and insecticidal activity: H. Mrozik et al., Experientia 45, 315 (1989). Synthesis: R. J. Cvetovich et al., J. Org. Chem. 59, 7704 (1994). HPLC determn in Salmo salar L.: H. Kim-Kang et al., J. Agric. Food Chem. 49, 5294 (2001); in medicated fish feed: L. J. Farer, J. AOAC Int. 88, 462 (2005). Safety and efficacy in Salmo salar L.: J. Stone et al., Aquaculture 210, 21 (2002). Avian toxicity studies: A. C. Chukwudebe et al., Environ. Toxicol. Chem. 17, 1118 (1998). Review: M. H. Fisher, ACS Symp. Ser. 524, 169-182 (1993); H. Mrozik, ibid. 551, 54-73 (1994).

Chemical structure

Properties

LC50 (48 hr) in Daphnia magna: 2.9 μg/l; LC50 in rainbow trout, bluegill sunfish (mg/l) at 24 hrs: >1.0, 0.75; at 48 hrs: >1.0, 0.45; at 96 hrs: 0.67, 0.24 (Mrozik, US 4874749).

Derivative

Benzoate.

Nomenclature

CAS number: 137512-74-4
4″-Deoxy-4″-epi-N-methylaminoavermectin B1 benzoate; MK-244; Affirm (Syngenta); Denim (Syngenta); Proclaim (Syngenta); Slice (Schering-Plough).

Properties

Exists as the anhydrous and various hydrated forms having different crystal morphologies. Amt of water is nonstoichiometric. 1.1% form is an off white crystalline powder, mp 141-146°. [α]D -6.9° (c = 0.5% in methanol). uv max (10% methanol in water by volume): 244 nm (A11% = 327 corr). log P (n-octanol/aq phosphate): 3.0 (pH 5.1); 5.0 (pH 7.0). pKa 4.2; 7.6. Soly 0.32 mg/ml at pH 5 (aq); 0.024 mg/ml at pH 7 (aq). Freely sol in chloroform and methanol. Insol in hexane. LD50 in mallard ducks, northern bobwhite quail (mg/kg): 76, 264 orally (Chukwudebe).

Use

Insecticide.

Therapeutic Category (Veterinary)

Antiparasitic.