M. Bergmann et al., Ann. 449, 277 (1926).
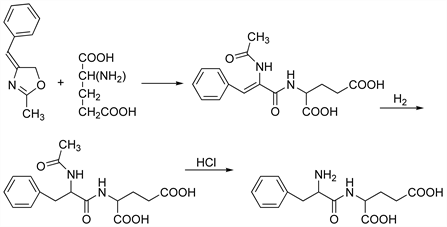
Conversion of an acetylated amino acid and an aldehyde into an azlactone with an alkylene side chain, reaction with a second amino acid with ring opening and formation of an acylated unsaturated dipeptide, followed by catalytic hydrogenation and hydrolysis to the dipeptide:

J. S. Fruton, Adv. Protein Chem. V, 15 (1949); S. Archer in Amino Acids and Proteins, D. M. Greenberg, Ed. (Thomas, Springfield, IL, 1951) p 181; H. D. Springall, The Structural Chemistry of Proteins (New York, 1954) p 29; E. Baltazzi, Q. Rev. Chem. Soc. 10, 235 (1956). Cf. Erlenmeyer-Pl"ochl Azlactone and Amino Acid Synthesis.