3729. Ethchlorvynol

Nomenclature

CAS number: 113-18-8
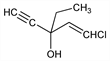
1-Chloro-3-ethyl-1-penten-4-yn-3-ol; 5-chloro-3-ethylpent-1-yn-4-en-3-ol; ethyl β-chlorovinyl ethynyl carbinol; ethclorvynol; Placidyl (Abbott); Arvynol (Pfizer); Serenesil (Abbott); Roeridorm (Roerig); Normoson.
C7H9ClO; mol wt 144.60.
C 58.14%, H 6.27%, Cl 24.52%, O 11.06%.

Description and references

Tertiary carbinol sedative-hypnotic. Prepn: W. M. McLamore et al., J. Org. Chem. 20, 109 (1955); Bavley, McLamore, US 2746900 (1956 to Pfizer). Pharmacological studies: S. Y. P'an et al., J. Pharmacol. Exp. Ther. 114, 326 (1955). Pharmacodynamics: Y. C. Martin, Biochem. Pharmacol. 16, 2041 (1967). Evaluation as hypnotic: J. W. Middleton et al., Curr. Ther. Res. 8, 391 (1966); J. H. Pattison et al., J. Am. Geriatr. Soc. 20, 398 (1972). Study of metabolites: J. P. Horwitz et al., Drug Metab. Dispos. 8, 77 (1980).

Chemical structure

Properties

Liquid, pungent aromatic odor. Slowly darkens on exposure to light and air. d425 1.065-1.070 (also reported as d420 1.070). bp760 173-174° (also reported as bp760 181°); bp0.1 28.5-30°. nD25 1.4675-1.4800. Immiscible with water; miscible with most organic solvents. LD50 in mice (mg/kg): 290 orally; 240 s.c. (P'an).

Note

This is a controlled substance (depressant): 21 CFR, 1308.14.

Therapeutic Category

Sedative, hypnotic.

Keywords

Sedative/Hypnotic; Alcohols