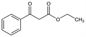
3767. Ethyl Benzoylacetate

Nomenclature

CAS number: 94-02-0
β-Oxobenzenepropanoic acid ethyl ester.
C11H12O3; mol wt 192.21.
C 68.74%, H 6.29%, O 24.97%.
Chemical structure

Properties

Liquid; pleasant odor; becomes yellow on exposure to air and light. d15 1.122. bp 265-270° with decompn. Volatile with steam. nD20 1.5338. Insol in water; miscible with alcohol, ether. Keep protected from air and light.