Home
>
The Merck Index
>
Monographs
>
E
>
ET
Previous page
Related articles
Next page
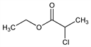
3785. Ethyl α-Chloropropionate
Nomenclature
CAS number:
535-13-7
2-Chloropropanoic acid ethyl ester.
C
5
H
9
ClO
2
; mol wt 136.58.
C 43.97%, H 6.64%, Cl 25.96%, O 23.43%.
Properties
Liq; pleasant odor. d
4
20
1.087. bp 147-148°.
n
D
20
1.4185. Insol in water; miscible with alcohol, ether.
Previous: Ethyl Chloroformate
|
Top
|
Next: Ethyl Cyanoacetate