4097. Flazasulfuron

Nomenclature

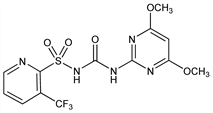
CAS number: 104040-78-0
N-[[(4,6-Dimethoxy-2-pyrimidinyl)amino]carbonyl]-3-(trifluoromethyl)-2-pyridinesulfonamide; 1-(4,6-dimethoxypyrimidin-2-yl)-3-(3-trifluoromethyl-2-pyridylsulfonyl)urea; OK-1166; SL-160; Katana (Ishihara); Shibagen (Ishihara).
C13H12F3N5O5S; mol wt 407.33.
C 38.33%, H 2.97%, F 13.99%, N 17.19%, O 19.64%, S 7.87%.

Description and references

Sulfonylurea herbicide. Prepn: F. Kimura et al., EP 184385; eidem, US 4744814 (1986, 1988 both to Ishihara Sangyo Kaisha); T. Haga et al., ACS Symp. Ser. 443, 107 (1991). Description of properties and biological activity: B. Hashizume, Jpn. Pestic. Inf. 57, 27 (1990). Field trial for control of ragwort: T. K. James et al., Proc. 50th N. Z. Plant Prot. Conf. 1997, 447. Weed control management in grapevines: P. Bourdrez, J.-M. Béraud, Phytoma 521, 66 (1999).

Chemical structure

Properties

Odorless, white crystalline solid, mp 164-166°. Soly at 20° (w/w%): acetone 1.2%; toluene 0.06%; at 25° (w/v%): acetic acid 0.67%. Soly in water: 4.1 ppm (pH 1). Vapor pressure: 3.1 × 108 mm Hg. pKa (24°): 4.6. Log P (octanol/water): 1.08. LD50 mice, rats (mg/kg): >5000, >5000 orally; in rats (mg/kg): >2000 dermally (Hashizume).

Use

Herbicide.