4424. [6]-Gingerol

Nomenclature

CAS number: 23513-14-6
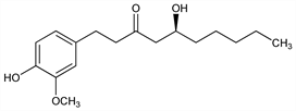
(5S)-5-Hydroxy-1-(4-hydroxy-3-methoxyphenyl)-3-decanone.
C17H26O4; mol wt 294.39.
C 69.36%, H 8.90%, O 21.74%.

Description and references

The major phenol and most important of the pungent principles of ginger oil, isolated from rhizome of Zingiber officinale Roscoe, Zingiberaceae: Thresh, Pharm. J. [3] 10, 171 (1879); 12, 721 (1881); 14, 798 (1883); 15, 208 (1884); Garnett, Grier, ibid. [4] 25, 118 (1907); Nelson, J. Am. Chem. Soc. 39, 1466 (1917). Structure studies: Lapworth et al., J. Chem. Soc. 111, 777 (1917). Review of early literature: Redgrove, Pharm. J. 125, 54 (1930); Jacobs, Am. Perfum. 48, no. 7, 60, 62 (1946). Demonstration of the presence of an homologous series of phenolic ketones in the pungent constituents of ginger, [6]-gingerol being the major member: D. W. Connell, M. D. Sutherland, Aust. J. Chem. 22, 1033 (1969). Synthesis of (±)-form: Hirao et al., Chem. Pharm. Bull. 20, 2287 (1972); K. Banno, T. Mukaiyama, Bull. Chem. Soc. Jpn. 49, 1453 (1976); P. Denniff, D. A. Whiting, Chem. Commun. 1976, 712; P. Denniff et al., J. Chem. Soc. Perkin Trans. 1 1981, 82. Stereoselective synthesis of S(+)-form: D. Enders et al., Ber. 112, 3703 (1979). Biosynthesis of (±)-form: P. Denniff, D. A. Whiting, Chem. Commun. 1976, 711; I. Macleod, D. A. Whiting, ibid. 1979, 1152; P. Denniff et al., J. Chem. Soc. Perkin Trans. 1 1980, 2637. Physical properties and cardiotonic effects of gingerols: N. Shoji et al., J. Pharm. Sci. 71, 1174 (1982). Mutagenicity studies: H. Nakamura, T. Yamamoto, Mutat. Res. 103, 119 (1982); eidem, ibid. 122, 87 (1983).

Chemical structure

Properties

Normally obtained as pungent, yellow oil. nD25 1.5224. uv max (ethanol) 282 nm (ε 2560) (Connell, Sutherland). Crystalline form, mp 30-32°. [α]D +27.8° (c = 1 in CHCl3). uv max (ethanol): 284 nm (ε 2700). Sol in 50% alcohol, ether, chloroform, benzene; moderately sol in hot petr ether.