4438. Glibornuride

Nomenclature

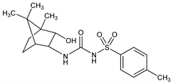
CAS number: 26944-48-9
[1S-(endo,endo)]-N-[[(3-Hydroxy-4,7,7-trimethylbicyclo[2.2.1]hept-2-yl)amino]carbonyl]-4-methylbenzenesulfonamide; (1R,2R,3S,4S)-1-(2-hydroxy-3-bornyl)-3-(p-tolylsulfonyl)urea; d-3-endo-p-tosylureidoborneol; 1-(p-tolylsulfonyl)-3-(2-endo-hydroxy-3-endo-d-bornyl)urea; Ro-6-4563; Gluborid (Grünenthal); Glutril (Roche).
C18H26N2O4S; mol wt 366.48.
C 58.99%, H 7.15%, N 7.64%, O 17.46%, S 8.75%.

Description and references

Prepn: H. Bretschneider et al., Monatsh. Chem. 100, 2133 (1969). See also: eidem, ZA 6706161; eidem, US 3770761; eidem, ZA 6902395; eidem, US 3654357 (1968, 1973, 1969, 1972, all to Hoffmann-La Roche). Comprehensive review of pharmacology: Arzneim.-Forsch. 22, 2153-2222 (1972).

Chemical structure

Properties

Crystals, mp 192-195° (ethanol-water); also reported as 195-198°. [α]D +63.8° (ethanol).

Therapeutic Category

Antidiabetic.

Keywords

Antidiabetic; Sulfonylurea Derivatives