Home
>
The Merck Index
>
Monographs
>
G
>
GL
Previous page
Related articles
Next page
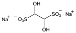
4510. Glyoxal-Sodium Bisulfite
Nomenclature
CAS number:
517-21-5
1,2-Dihydroxy-1,2-ethanedisulfonic acid disodium salt; glyoxal compd with sodium bisulfite.
C
2
H
4
Na
2
O
8
S
2
; mol wt 266.16.
C 9.03%, H 1.51%, Na 17.28%, O 48.09%, S 24.09%.
Description and references
Prepn: Ronzio, Waugh,
Org. Synth.
coll. vol. III,
438 (1955).
Derivative
Monohydrate
.
Properties
Hard crystals. Faint SO
2
odor. Freely sol in water. Practically insol in alcohol.
Previous: Glyoxal
|
Top
|
Next: Glyoxylic Acid