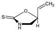
4513. Goitrin

Nomenclature

CAS number: 500-12-9
(5S)-5-Ethenyl-2-oxazolidinethione; 5-vinyl-2-thiooxazolidone; ()-5-vinyl-2-oxazolidinethione.
C5H7NOS; mol wt 129.18.
C 46.49%, H 5.46%, N 10.84%, O 12.39%, S 24.82%.

Description and references

An antithyroid compd isolated from seeds of different species of Brassica, Cruciferae: Astwood et al., J. Biol. Chem. 181, 121 (1949); Greer, J. Am. Chem. Soc. 78, 1260 (1956). Stereochemistry: Kjaer et al., Acta Chem. Scand. 13, 144 (1959). Activity: Langer et al., Endokrinologie 57, 225 (1971).

Chemical structure

Properties

Large prisms from ether, mp 50°. [α]D31 70.5° (c = 2 in methanol). Behaves as a weak acid; pKa 10.5. Stable in alkali, but not in acid.