4547. Grindelic Acid

Nomenclature

CAS number: 1438-57-9
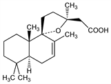
(1′R,4′aS,5S,8′aS)-4,4′a,5,5′,6′,7′,8′,8′a-Octahydro-2′,5,5′,5′,8′a-pentamethylspiro[furan-2(3H),1′(4′H)-naphthalene]-5-acetic acid; 9,13-epoxylabd-7-en-15-oic acid.
C20H32O3; mol wt 320.47.
C 74.96%, H 10.06%, O 14.98%.

Description and references

Major grindelane diterpenoid isolated from the resin of Grindelia robusta Nutt., Compositae. Isoln and structure: L. Panizzi et al., Gazz. Chim. Ital. 92, 522 (1962). Stereochemical studies: L. Mangoni, M. Belardini, ibid. 92, 1379 (1962); 93, 455, 465 (1963). Synthesis: M. Adinolfi et al., ibid. 106, 625 (1976). Absolute configuration: M. Adinolfi et al., Phytochemistry 27, 1878 (1988); L. A. Paquette, H.-L. Wang, J. Org. Chem. 61, 5352 (1996).

Chemical structure

Properties

Crystals from acetic acid, mp 100-101°. [α]D 102.2°.

Derivative

Methyl ester.
C21H34O3; mol wt 334.49.
C 75.41%, H 10.25%, O 14.35%.

Properties

Crystals from methanol, mp 70-70.5°. [α]D 134.1° (c = 1.46 in methanol).