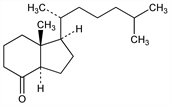
4551. Grundmann's Ketone

Nomenclature

CAS number: 66251-18-1
(1R,3aR,7aR)-1-[(1R)-1,5-Dimethylhexyl]octahydro-7a-methyl-4H-inden-4-one; (1R,3aR,7aR)-7a-methyl-1-((R)-6-methylheptan-2-yl)-octahydroinden-4-one; Windaus-Grundmann ketone.
C18H32O; mol wt 264.45.
C 81.75%, H 12.20%, O 6.05%.

Description and references

Prepd by ozonolysis of vitamin D3, q.v. Preparative method: A. Windaus, W. Grundmann, Ann. 524, 295 (1936). Prepn: H. H. Inhoffen et al., Ber. 90, 664 (1957). Synthetic applications: H. Nemoto et al., J. Org. Chem. 51, 5311 (1986); P. Bovicelli et al., ibid. 57, 5052 (1992); M. C. Clasby, D. Craig, Synth. Commun. 24, 481 (1994); R. R. Sicinski, H. F. DeLuca, Bioorg. Med. Chem. Lett. 5, 159 (1995); W. H. Okamura et al., J. Org. Chem. 67, 1637 (2002).

Chemical structure

Properties

Colorless oil, bp0.001 115-120°. [α]D20 +8.9°.

Use

Intermediate in the synthesis of vitamin D active compounds.