4607. Hamamelitannin

Nomenclature

CAS number: 469-32-9
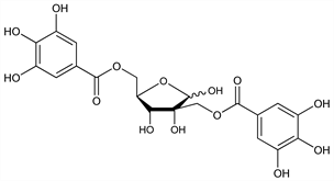
2-C-[[(3,4,5-Trihydroxybenzoyl)oxy]methyl]-d-ribofuranose 5-(3,4,5-trihydroxybenzoate); 2-C-(hydroxymethyl)-d-ribofuranose 2′,5-digallate.
C20H20O14; mol wt 484.36.
C 49.59%, H 4.16%, O 46.24%.

Description and references

From bark of Hamamelis virginiana L., Hamamelidaceae: Grüttner, Arch. Pharm. 236, 278 (1898); from bark of Castanea dentata (Marsh.) Borkh., Fagaceae: Mayer, Kunz, Naturwissenschaften 46, 206 (1959). Structure: Mayer et al., Ann. 688, 232 (1965). Synthesis: Ezekiel et al., Carbohydr. Res. 11, 233 (1969).

Chemical structure

Properties

Prisms from water, mp 145-147°. [α]D19 +32.6° (c = 1.5).

Derivative

Hexamethyl ether.
C26H32O14; mol wt 568.52.
C 54.93%, H 5.67%, O 39.40%.

Properties

Needles from dioxane + water, mp 73-76°. [α]25578 +10.0° (c = 2.0 in dioxane). Sol in acetone, dioxane, methanol. Practically insol in water.