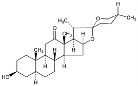
4622. Hecogenin

Nomenclature

CAS number: 467-55-0
(3β,5α,25R)-3-Hydroxyspirostan-12-one.
C27H42O4; mol wt 430.62.
C 75.31%, H 9.83%, O 14.86%.

Description and references

A steroidal sapogenin which has been isolated from plants, particularly from numerous Agave species. Isoln: Marker et al., J. Am. Chem. Soc. 69, 2167 (1947); Rubin, US 3303186 (1967). Synthesis and configuration: Mazur et al., J. Am. Chem. Soc. 82, 5889 (1960). Separation of an optically inactive product from sapogenin mixtures: Cardenas, US 3013010 (1961 to Searle). Review: L. F. Fieser, M. Fieser, Steroids (Reinhold, New York, 1959) pp 667-671 sqq.

Chemical structure

Properties

Crystals from acetone, mp 264-266°. [α]D +8° (CHCl3) (Mazur et al.); mp 245°, 253°, 268° (Marker et al.); mp 240-245°, 245-250°. [α]D ±0° (CHCl3) (Cardenas).

Derivative

Pseudohecogenin.

Nomenclature

CAS number: 11005-20-2
(3β,5α,25R)-3,26-Dihydroxyfurost-20(22)-en-12-one.
C27H42O4; mol wt 430.62.
C 75.31%, H 9.83%, O 14.86%.

Description and references

Prepn from hecogenin: Cameron et al., J. Chem. Soc. 1955, 2807; Wall, Serota, US 2870143 (1959 to USDA).

Properties

Plates from aq acetone, mp 190-191°. [α]D20 +103° (c = 1.5 in chloroform), +96° (c = 1 in dioxane). uv max (ethanol): 213 nm (ε 6400).

Use

In prepn of steroidal hormones.