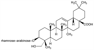
4625. α-Hederin

Nomenclature

CAS number: 27013-91-8
Helixin (the saponin).
C41H66O12; mol wt 750.96.
C 65.57%, H 8.86%, O 25.57%.

Description and references

Isoln from ivy leaves (Hedera helix L., Araliaceae): van der Haar, Arch. Pharm. 250, 424 (1912); 251, 632, 650; idem, Biochem. Z. 76, 335 (1916); idem, Ber. 54, 3142 (1921). Isoln and structure: Tschesche et al., Z. Naturforsch. 20b, 708 (1965).

Chemical structure

Properties

Precipitated from ethanol by addition of ether, mp 256-259°. [α]D20 +14.5° (c = 0.92 in methanol).