4710. Hexylene Glycol

Nomenclature

CAS number: 107-41-5
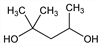
2-Methyl-2,4-pentanediol; α,α,α′-trimethyltrimethyleneglycol; pinakon.
C6H14O2; mol wt 118.17.
C 60.98%, H 11.94%, O 27.08%.

Description and references

Prepn: Franke, Monatsh. Chem. 22, 1067 (1901); Leopold, DE 486767 (1925 to I. G. Farben), Frdl. 16, 679; Adkins, Cramer, J. Am. Chem. Soc. 52, 4349 (1930); Arundale, Mikeska, US 2367324 (1945 to Standard Oil). Toxicity study: Smyth, Carpenter, J. Ind. Hyg. Toxicol. 30, 63 (1948).

Chemical structure

Properties

Liquid. Mild sweetish odor. d1515 0.924. bp760 198°; bp10 97°. Flash pt (open cup): 93°C (200°F). nD20 1.4276. Dipole moment: 2.8. Viscosity at 20° = 34 cP. Sol in water, alcohol, ether, lower aliphatic hydrocarbons. LD50 orally in rats: 4.70 g/kg (Smyth, Carpenter).

Derivative

Diacetate.
C10H18O4; mol wt 202.25.
C 59.39%, H 8.97%, O 31.64%.

Properties

Liquid. bp12 95°.

Caution

Potential symptoms of overexposure are irritation of eyes, skin, respiratory system; headache, dizziness, nausea, incoordination, CNS depression; dermatitis, skin sensitization. See NIOSH Pocket Guide to Chemical Hazards (DHHS/NIOSH 97-140, 1997) p 164.

Use

Cosmetics, hydraulic brake fluids (as coupling agent to castor oil).