4765. Hydramethylnon

Nomenclature

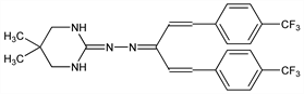
CAS number: 67485-29-4
Tetrahydro-5,5-dimethyl-2(1H)-pyrimidinone[3-[4-(trifluoromethyl)phenyl]-1-[2-[4-(trifluoromethyl)phenyl]ethenyl]-2-propenylidene]hydrazone; 1,5-bis(α,α,α-trifluoro-p-tolyl)-1,4-pentadiene-3-one (1,4,5,6-tetrahydro-5,5-dimethyl-2-pyrimidinyl)hydrazone; AC-217300; Amdro (BASF); Combat; Maxforce.
C25H24F6N4; mol wt 494.48.
C 60.72%, H 4.89%, F 23.05%, N 11.33%.

Description and references

Slow-activating stomach poison insecticide. Prepn: J. B. Lovell, US 4087525 (1975 to Am. Cyanamid). Activity: idem, Proc. Br. Crop Prot. Conf. - Pests Dis. 1979, 575. Field trials for control of red imported fire ant: D. P. Harlan et al., Southwest. Entomol. 6, 150 (1981); W. A. Banks et al., ibid. 158; for control of cockroaches: J. F. Milio et al., J. Econ. Entomol. 79, 1280 (1986).

Chemical structure

Properties

Crystals from isopropanol, mp 189-191°. Insol in water. Sol in alc, acetone.

Use

Insecticide.