5004. Inulin

Nomenclature

CAS number: 9005-80-5
Dahlin; alantin; alant starch.

Description and references

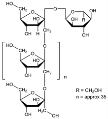
Mol wt approx 5000. Polysaccharide of Compositae which partially or completely replaces starch as a reserve food. Isoln from dahlia tubers: McDonald, “Polyfructosans and Difructose Anhydrides” in Advan. Carbohyd. Chem. vol. 2, 254 (1946); from Jerusalem artichoke tubers: Bacon, Edelman, Biochem. J. 48, 114 (1951). Structure: E. G. V. Percival, Structural Carbohydrate Chemistry (J. Garnet Miller, London, 2nd ed., 1962) p 274.

Chemical structure

Properties

Spherical crystals from water. Hygroscopic in moist air. [α]D20 40° (c = 2) for the anhydr. Sol in hot water; slightly sol in cold water and organic solvents. Yields d-fructose and d-glucose upon acid hydrolysis.

Derivative

Acetate.

Properties

Fine powder from methanol. [α]D20 34° (c = 1.5 in chloroform); [α]D20 43° (c = 1.8 in acetic acid).

Derivative

Trimethylinulin.

Properties

Powder from hot water + acetone, mp 140°. [α]D20 55° (c = 1.03 in chloroform); [α]D20 54° (c = 1.09 in benzene).

Therapeutic Category

Diagnostic aid (renal function).

Keywords

Diagnostic Aid