5106. Isepamicin

Nomenclature

CAS number: 58152-03-7
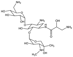
O-6-Amino-6-deoxy-α-d-glucopyranosyl-(1→4)-O-[3-deoxy-4-C-methyl-3-(methylamino)-β-l-arabinopyranosyl-(1→6)]-N1-[(2S)-3-amino-2-hydroxy-1-oxopropyl]-2-deoxy-d-streptamine; 1-N-[(S)-3-amino-2-hydroxypropionyl]gentamicin B; HAPA-B; Sch-21420.
C22H43N5O12; mol wt 569.60.
C 46.39%, H 7.61%, N 12.30%, O 33.71%.

Description and references

Aminoglycoside antibiotic; semisynthetic derivative of gentamicin B. Prepn: M. J. Weinstein et al., BE 818431; J. J. Wright, P. J. L. Daniels, BE 824657 (both 1975 to Sherico); J. J. Wright et al., US 4002742 (1977 to Schering Corp.); T. L. Nagabhushan et al., J. Antibiot. 31, 681 (1978). Antibacterial spectrum in vitro and in vivo: G. H. Miller et al., ibid. 688. Comparison with amikacin of nephrotoxic potential: L. I. Rankin et al., Antimicrob. Agents Chemother. 16, 491 (1979). Series of articles on antibacterial activity, toxicology and clinical efficacy: Chemotherapy (Tokyo) 35, Suppl 5, 1-610 (1985); on toxicology: Jpn. J. Antibiot. 39, 3164-3328 (1986), C.A. 107, 32666r-32673r (1987). Acute toxicity: T. Morino et al., ibid. 3164, C.A. 107, 32667s (1987).

Chemical structure

Derivative

Sulfate.

Nomenclature

CAS number: 67814-76-0
Exacin (Schering); Isepacin (Toyo Jozo); Isépalline (Schering).

Properties

[α]D26 +110.9° (c = 1 in water as the disulfate hydrate). LD50 in male, female mice, rats (mg/kg): 234, 236, 489, 476 i.v.; 3312, 3320, 3451, 3392 s.c.; >5000 orally both species (Morino).

Therapeutic Category

Antibacterial.

Keywords

Antibacterial (Antibiotics); Aminoglycosides