5193. Isooctane

Nomenclature

CAS number: 540-84-1
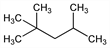
2,2,4-Trimethylpentane; isobutyltrimethylmethane.
C8H18; mol wt 114.23.
C 84.12%, H 15.88%.

Description and references

Produced by the refining of petroleum.

Chemical structure

Properties

Highly flammable, mobile liquid. Odor of gasoline. Antiknock octane no. 100. mp 107.45°. bp 99.3°. d420 0.69194. nD20 1.39157. Dipole moment: 0. Flash pt, closed cup: 10°F (12°C). Practically insol in water; somewhat sol in abs alcohols; sol in benzene, toluene, xylene, chloroform, ether, carbon disulfide, carbon tetrachloride, DMF and oils, except castor oil.

Note

The name isooctane has also been applied to 2-methylheptane.

Use

In determining octane numbers of fuels; in spectrophotometric analysis; as solvent and thinner.