Home
>
The Merck Index
>
Monographs
>
I
>
IS
Previous page
Related articles
Next page
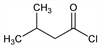
5232. Isovaleryl Chloride
Nomenclature
CAS number:
108-12-3
3-Methylbutanoyl chloride; isopentanoyl chloride; isovaleric acid chloride.
C
5
H
9
ClO; mol wt 120.58.
C 49.80%, H 7.52%, Cl 29.40%, O 13.27%.
Properties
Liquid. d
4
20
0.985. bp 114-116°.
n
D
20
1.4156. Dec by water, alcohol.
Previous: Isovaleric Acid
|
Top
|
Next: 2-Isovalerylindane-1,3-dione