5265. Jesaconitine

Nomenclature

CAS number: 16298-90-1
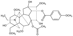
(1α,3α,6α,14α,15α,16β)-20-Ethyl-1,6,16-trimethoxy-4-(methoxymethyl)aconitane-3,8,13,14,15-pentol 8-acetate 14-(4-methoxybenzoate).
C35H49NO12; mol wt 675.76.
C 62.21%, H 7.31%, N 2.07%, O 28.41%.

Description and references

From Aconitum fischeri Reich. and A. sachalinense F. Schmidt, Ranunculaceae: Makoshi, Arch. Pharm. 247, 243 (1909); Majima, Morio, Ber. 57, 1472 (1924). Structure: Ochiai et al., J. Pharm. Soc. Jpn. 75, 545 (1955); Keith, Pelletier, Chem. Commun. 1967, 993 (corr. ibid. 1968, 1739); eidem, J. Org. Chem. 33, 2497 (1968).

Chemical structure

Properties

Amorphous powder, dec 128-131°. Sol in ether, dil acids.

Derivative

Perchlorate.
C35H49NO12.HClO4; mol wt 776.22.
C 54.16%, H 6.49%, N 1.80%, O 32.98%, Cl 4.57%.

Properties

Prisms from alcohol, dec 230-232°. [α]D 16.7° (methanol).