5330. Laccaic Acid

Nomenclature

C.I. Natural Red 25; lac dye; C.I. 75450.

Description and references

Pigment found in the lac resin produced by the insect Coccus laccae (Laccifer lacca Kerr) on certain trees in India. Isoln: R. E. Schmidt, Ber. 20, 1285 (1887). Chemistry: O. Dimroth, S. Goldschmidt, Ann. 399, 62 (1913). Originally thought to be one compound, laccaic acid has been separated into four components: A (major), B, C and D. Isoln of A: R. Burwood et al., J. Chem. Soc. C 1965, 6067. Structure of A: eidem, Tetrahedron Lett. 1966, 3059; eidem, J. Chem. Soc. C 1967, 842; E. D. Pandhare et al., Indian J. Chem. 7, 977 (1969). Isoln and structure of B: eidem, Tetrahedron Lett. 1967, 2437; N. S. Bhide et al., Indian J. Chem. 7, 987 (1969); of C: A. V. R. Rao et al., ibid. 188; of D: A. R. Mehandale et al., Tetrahedron Lett. 1968, 2231. Synthesis of D: D. W. Cameron et al., Chem. Commun. 1978, 688; eidem, Aust. J. Chem. 34, 2401 (1981).

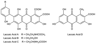
Chemical structure

Derivative

Laccaic acid A.

Nomenclature

Laccaic acid A1.
C26H19NO12; mol wt 537.43.
C 58.11%, H 3.56%, N 2.61%, O 35.72%.

Properties

Red platelets from methanol, chars at 230°. Absorption max (conc H2SO4): 302, 361, 518, 558 nm (log ε 4.33, 4.11, 4.32, 4.37).

Derivative

Laccaic acid B.
C24H16O12; mol wt 496.38.
C 58.07%, H 3.25%, O 38.68%.

Properties

Red needles from methanol.

Derivative

Laccaic acid C.
C25H17NO13; mol wt 539.40.
C 55.67%, H 3.18%, N 2.60%, O 38.56%.

Properties

Dark red needles from methanol, dec >360°.

Derivative

Laccaic acid D.

Nomenclature

Xanthokermesic acid.
C16H10O7; mol wt 314.25.
C 61.15%, H 3.21%, O 35.64%.

Properties

Yellow needles from water, dec >300°.

Use

As crimson dye.