5369. Lappaconitine

Nomenclature

CAS number: 32854-75-4
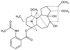
(1α,14α,16β)-20-Ethyl-1,14,16-trimethoxyaconitane-4,8,9-triol 4-[2-(acetylamino)benzoate].
C32H44N2O8; mol wt 584.70.
C 65.73%, H 7.58%, N 4.79%, O 21.89%.

Description and references

From tubers and herb of Aconitum septentrionale Klle, A. orientale Mill., A. excelsum Reichb., A. ranunculaefolium, Ranunculaceae: Schulze, Ulfert, Arch. Pharm. 260, 230 (1922); Kuzovkov, Massagetov; Platonova et al., Zh. Obshch. Khim. 25, 178 (1955); 28, 258 (1958), C.A. 50, 1852e (1956), C.A. 52, 12883i (1958), resp.; Mollov et al., C. R. Acad. Bulg. Sci. 17, 251 (1964), C.A. 61, 12324g (1964). Structure: Khaimova et al., Tetrahedron Lett. 1964, 2711. Revised structure: V. A. Tel'nov et al., Khim. Prir. Soedin. 6, 583 (1970), C.A. 74, 42527k (1971). Analgesic activity studies in mice and rats: N. Ono, J. Satoh, Arzneim.-Forsch. 38, 892 (1988). Toxicology: F. Dybing et al., Acta Pharmacol. Toxicol. 7, 337 (1951).

Chemical structure

Properties

Bitter crystals, mp 217-218°. [α]D18 +27° (chloroform). Sol in benzene; slightly sol in alcohol, ether. Practically insol in water. LD50 in mice (mg/kg): 6.9 i.v.; 9.1 i.p.; approx 20 orally (Dybing).