5439. Lentinan

Nomenclature

CAS number: 37339-90-5
LC-33.

Description and references

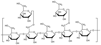
(C6H10O5)n; mol wt 400,000-800,000. Neutral polysaccharide isolated from the edible mushroom, Lentinus edodes (Berk.) Sing. Primary structure is a β-1,3-d-glucan having 2 β-1,6-glucopyranoside branchings for every 5 β-1,3 linear linkages. Isoln and antitumor activity: G. Chihara et al., Nature 222, 637 (1969); eidem, Cancer Res. 30, 2776 (1970). Immunostimulant activity: Y. Y. Maeda, G. Chihara, Nature 229, 634 (1971). Prepn of stable aqueous solution: M. Fujii et al., NL 7601114; eidem, US 4207312 (1976, 1980 both to Ajinomoto; Morishita). Structural study: T. Sasaki et al., Carbohydr. Res. 47, 99 (1976). Preclinical evaluation and toxicity studies: G. Chihara, Adv. Exp. Med. Biol. 166, 189 (1983). Mechanism of action studies: H. Miyakoshi, T. Aoki, Int. J. Immunopharmacol. 6, 365, 373 (1984). Clinical trial in gastric and colorectal cancer: T. Taguchi et al., Adv. Exp. Med. Biol. 166, 181 (1983); K. Okuyama et al., Cancer 55, 2498 (1985). Review: G. Chihara, Int. J. Tissue Res. 4, 207-225 (1982).

Chemical structure

Properties

White powder, dec 250°. Sol in aqueous alkali, formic acid. Slightly sol in hot water, DMSO. Insol in cold water, alcohol, ether, chloroform, pyridine, hexamethylphosphoramide. Stable against sulfuric and hydrochloric acids. [α]D20 +13.5-14.5° (in 2% NaOH); +19.5-21.5° (in 10% NaOH).

Therapeutic Category

Antineoplastic; immunomodulator.

Keywords

Antineoplastic; Immunomodulators; Immunomodulator