5444. Leptomycin B

Nomenclature

CAS number: 87081-35-4
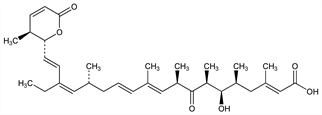
(2E,5S,6R,7S,9R,10E,12E,15R,16Z,18E)-19-[(2S,3S)-3,6-Dihydro-3-methyl-6-oxo-2H-pyran-2-yl]-17-ethyl-6-hydroxy-3,5,7,9,11,15-hexamethyl-8-oxo-2,10,12,16,18-nonadecapentaenoic acid; elactocin; CI-940; CL-1957A; NSC-364372; PD-114720.
C33H48O6; mol wt 540.73.
C 73.30%, H 8.95%, O 17.75%.

Description and references

Antibiotic compound with antifungal and antitumor activity. Inhibits the CRM1/exportin1 pathway of nuclear transport in eukaryotic cells, facilitating its use in the study of nuclear export. Isoln from Streptomyces sp. ATS1287: T. Hamamoto et al., J. Antibiot. 36, 639 (1983); from actinomycete ATCC 39366: G. C. Hokanson et al., EP 139458; eidem, US 4771070 (1985, 1988 both to Warner Lambert). Antitumor activity: B. J. Roberts et al., Cancer Chemother. Pharmacol. 16, 95 (1986); and antimicrobial activity: J. B. Tunac et al., J. Antibiot. 38, 460 (1985). Synthesis and abs config: M. Kobayashi et al., Tetrahedron Lett. 39, 8291 (1998). HPLC determn in fermentation extracts: M. Stadler et al., J. Chromatogr. A 818, 187 (1998). Review of use as inhibitor of nuclear export: M. Yoshida et al., Actinomycetologica 12, 120-128 (1998).

Chemical structure

Properties

Isolated as yellow sticky oil (Hamamoto). Sol in methanol, ethanol, ethyl acetate and ethyl ether. Insol in n-hexane, water. [α]D 24.5° (c = 0.70 in MeOH). uv max (ethanol): 225 nm (ε 20000); shoulder 240 nm (ε 15000). Purified as a pale yellow solid foam, mp 41-44°, with prior softening (Hokanson). [α]D23 157 ° (c = 0.7% in chloroform).

Use

Biological tool for studying nuclear localization and protein trafficking in eukaryotic cells.