5481. Lidamidine

Nomenclature

CAS number: 66871-56-5
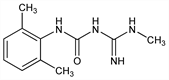
N-(2,6-Dimethylphenyl)-N′-[imino(methylamino)methyl]urea; 1-(2,6-dimethylphenyl)-3-methylamidinourea.
C11H16N4O; mol wt 220.27.
C 59.98%, H 7.32%, N 25.44%, O 7.26%.

Description and references

Amidinourea with antisecretory, antimotility properties. Prepn as hydrochloride: BE 844832 (1977 to Rorer), C.A. 88, 22432m (1977). See also: J. Diamond, G. H. Douglas, US 4147804 (1979 to Rorer). Prepn, structure activity relationship: G. H. Douglas et al., Arzneim.-Forsch. 28, 1435 (1978). Physical-chemical properties: J. J. Zalipsky et al., ibid. 1441. Effect on α2-adrenergic receptors and electrolyte absorption: T. Durbin et al., Gastroenterology 82, 1352 (1982). Series of articles on pharmacology, metabolism, pharmacokinetics: Arzneim.-Forsch. 28, 1448-1480 (1978). Toxicity: B. J. Chou et al., ibid. 1471. Clinical comparison with loperamide, q.v., in acute diarrhea: G. Gasbarrini et al., ibid. 36, 1843 (1986). Brief review: G. Friedman, Am. J. Gastroenterol. 80, 143 (1985).

Chemical structure

Derivative

Hydrochloride.

Nomenclature

CAS number: 65009-35-0
WHR-1142A; Lidarral (Rorer); Smodin (Cheil Sugar).
C11H16N4O.HCl; mol wt 256.73.
C 51.46%, H 6.67%, N 21.82%, O 6.23%, Cl 13.81%.

Properties

White powder, mp 194-197°. uv max (H2O): 262, 271 nm (ε 626, 524). Soly at 25° (mg/ml): water 153.55, methanol 297.94, ethanol 88.55, chloroform 4.62, hexane 0.01. LD50 in male mice, male, female rats (mg/kg): 260, 267, 160 orally; in mice (mg/kg): 56 i.v. (Chou).

Therapeutic Category

Antiperistaltic; antidiarrheal.

Keywords

Antidiarrheal