5673. Magnesium Monoperoxyphthalate

Nomenclature

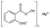
CAS number: 78948-87-5
(T-4)-Bis[2-carboxybenzenecarboperoxoato(2-)-κOOO]magnesate(2-) dihydrogen; magnesium bis(monoperoxyphthalate); H48; MMPP.
C16H10MgO10; mol wt 386.55.
C 49.71%, H 2.61%, Mg 6.29%, O 41.39%.

Description and references

Versatile, mild peroxygen product; stable alternative to m-chloroperoxybenzoic acid (MCPBA) in oxidation reactions. Prepn: G. J. Hignett, EP 27693; idem, US 4385008 (1981, 1983 both to Interox). Thermal decompn studies: B. M. Kariuki, W. Jones, Mol. Cryst. Liq. Cryst. 186, 45 (1990); eidem, ibid. 248, 21 (1994). Decontamination reactions with warfare agents and insecticides: C. Lion et al., Phosphorus Sulfur Silicon Relat. Elem. 56, 213 (1991). Antimicrobial properties: M. G. C. Baldry, J. Appl. Bacteriol. 57, 499 (1984). Clinical evaluation as an anti-plaque mouthrinse and dentifrice: C. Scully et al., J. Clin. Periodontol. 26, 234 (1999). Review of synthetic applications in oxidation reactions: P. Brougham et al., Synthesis 1987, 1015-1017; H. Heaney, Aldrichim. Acta 26, 35-45 (1993).

Chemical structure

Derivative

Hexahydrate.

Nomenclature

CAS number: 131391-55-4
C16H10MgO10.6H2O; mol wt 494.64.
C 38.85%, H 4.48%, Mg 4.91%, O 51.75%.

Properties

White granular solid, mp 96°. Soly in water (15°): 160 g/l. Sol in low mol wt alcohols; very low soly in common organic solvents.

Use

Oxidizing agent in organic synthesis. Bleaching agent. Decontaminant reagent for nerve gases and insecticides.