5714. Maltose

Nomenclature

CAS number: 69-79-4
4-O-α-d-Glucopyranosyl-d-glucose; malt sugar; maltobiose; 4-(α-d-glucosido)-d-glucose; Maltos (Otsuka); Martos-10 (Otsuka).
C12H22O11; mol wt 342.30.
C 42.11%, H 6.48%, O 51.41%.

Description and references

Monohydrate obtained in about 80% yield by enzymatic (diastase) degradation of starch: Gore, US 1657079 (1928). Structure: Haworth, Peat, J. Chem. Soc. 1926, 3094; Hassid, Ballou in W. Pigman, The Carbohydrates (Academic Press, New York, 1957) p 498. Crystal and molecular structure: F. Takusagawa, R. A. Jacobson, Acta Crystallogr. B34, 213 (1978). Review: E. Tarelli, Dev. Food Carbohydr. 2, 187-227 (1980); R. Khan, Carbohydr. Chem. Biochem. 39, 213-278 (1981).

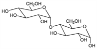
Chemical structure

Derivative

Monohydrate.

Properties

Crystals from water or dil alc, mp 102-103°. Does not lose its water of crystn by drying at room temp in vacuo over H2SO4 or P2O5. About one-third as sweet as sucrose. Cf. Isbell, Pigman, J. Res. Natl. Bur. Stand. 18, 141 (1937). Shows mutarotation. [α]D20 +111.7° → +130.4° (c = 4). pKa (21°): 12.05. Sol in water, slightly sol in alcohol. Practically insol in ether.

Use

Nutrient, sweetener, in culture media, in prepd bee food. Parenteral supplement of sugar for diabetics. Fermentable intermediate in brewing. Stabilizer for polysulfides. In pharmaceutical dispensing.