5722. Mangafodipir

Nomenclature

CAS number: 118248-94-5 (free acid); 155319-91-8 (hexahydrogen)
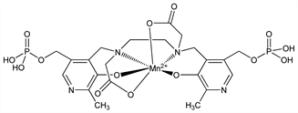
(OC-6-13)-[[N,N′-1,2-Ethanediylbis[N-[[3-(hydroxy-κO)-2-methyl-5-[(phosphonooxy)methyl]-4-pyridinyl]methyl]glycinato-κNO]](8-)]manganate(6-); manganese(II)-N,N′-dipyridoxylethylenediamine-N,N′-diacetate-5,5-bis(phosphonate); manganese dipyridoxal diphosphate; MnDPDP; S-095.
C22H24MnN4O14P2; mol wt 685.33.
C 38.56%, H 3.53%, Mn 8.02%, N 8.18%, O 32.68%, P 9.04%.

Description and references

Paramagnetic manganese (II) chelate designed as a tissue specific imaging agent taken up by normal liver parenchyma. Prepn: S. M. Rocklage, S. C. Quay, EP 290047; eidem, US 4933456 (1988, 1990 both to Salutar); idem et al., Inorg. Chem. 28, 477 (1989). Pharmacology, toxicity and image enhancement studies: G. Elizondo et al., Radiology 178, 73 (1991). HPLC determn in plasma: K. G. Toft et al., J. Pharm. Biomed. Anal. 15, 973 (1997). Series of articles on clinical studies, toxicology and physicochemical properties: Acta Radiol. 38, 626-789 (1997). Review of use as contrast agent for liver lesion detection: N. M. Rofsky, J. P. Earls, MRI Clin. North Am. 4, 73-85 (1996).

Chemical structure

Properties

LD50 i.v. in mice: 5.4 mmol/kg (Elizondo).

Derivative

Trisodium salt.

Nomenclature

CAS number: 140678-14-4
Magnafodipir trisodium; Win-59010; Teslascan (Nycomed).
C22H27MnN4Na3O14P2; mol wt 757.32.
C 34.89%, H 3.59%, Mn 7.25%, N 7.40%, Na 9.11%, O 29.58%, P 8.18%.

Properties

Pale yellow, triclinic hygroscopic crystals. d 1.537. uv max (water): 220, 257, 319 nm (ε 37600, 10300, 13400). Soly (g/ml): 0.4596 water, 0.0230 methanol, 0.0008 ethanol, 0.0006 acetone, 0.0011 chloroform. Log P (1-octanol:water) -5.62; (1-butanol: water) -3.68. Prepd as 0.01 mmol/ml aqueous infusion: bright yellow, clear soln, pH 7.5. Viscosity (mPa.s): 1.0 at 20°, 0.7 at 37°. Osmolality (37°): 290 mosmol/kg. d20 1.01 g/ml.

Therapeutic Category

Diagnostic aid (MRI contrast agent).

Keywords

Diagnostic Aid (MRI Contrast Agent)