5773. Mebutamate

Nomenclature

CAS number: 64-55-1
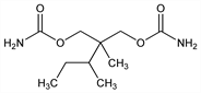
2-Methyl-2-(1-methylpropyl)-1,3-propanediol dicarbamate; 2-sec-butyl-2-methyl-1,3-propanediol dicarbamate; carbamic acid 2-sec-butyl-2-methyltrimethylene ester; 2-sec-butyl-2-methyltrimethylenecarbamate; 2-methyl-2-sec-butyl-1,3-propanediol dicarbamate; 2,2-dicarbamoyloxymethyl-3-methylpentane; dicamoylmethane; W-583; Capla (Wallace Labs.); Butatensin (Benvegna); Carbuten (Kalopharma); Dormate (Wallace); Mebutina (Formenti); Prean (Chemil); Sigmafon (Fontana); Vallene; Mega; No-Press; Axiten; Ipotensivo.
C10H20N2O4; mol wt 232.28.
C 51.71%, H 8.68%, N 12.06%, O 27.55%.

Description and references

Prepn: Berger, Ludwig, US 2878280 (1959 to Carter Prod.). Mechanism of action: Kletzkin, Arch. Int. Pharmacodyn. Ther. 164, 71 (1966). Metabolism: Edelson, Douglas, ibid. 173, 182 (1968).

Chemical structure

Properties

Crystals, mp 77-79°. Soly in water: ≈0.1%. Sol in most organic solvents. On heating or boiling with acid or alkali, hydrolyzes to the alcohol, ammonia and carbon dioxide.

Note

This is a controlled substance (depressant): 21 CFR, 1308.14.

Therapeutic Category

Antihypertensive.

Keywords

Antihypertensive