C. K. Bradsher, T. W. G. Solomons, J. Am. Chem. Soc. 80, 933 (1958).
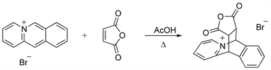
[4 + 2] addition of a common dienophile with cationic aromatic azadienes such as acridizinium or isoquinolinium:

Mechanistic study: C. K. Bradsher, J. A. Stone, J. Org. Chem. 33, 519 (1968). Synthetic applications: V. Bolitt et al., J. Am. Chem. Soc. 113, 6320 (1991); H. Yin et al., J. Org. Chem. 57, 644 (1992); T. E. Nicolas, R. W. Franck, ibid. 69, 6904 (1995). Review: D. L. Boger, S. M. Weinreb, Hetero Diels-Alder Methodology in Organic Synthesis (Academic Press, NY, 1987) pp 239-299.