5916. Mesterolone

Nomenclature

CAS number: 1424-00-6
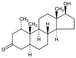
(1α,5α,17β)-17-Hydroxy-1-methylandrostan-3-one; 1α-methyl-5α-androstan-17β-ol-3-one; 1α-methyl-5α-dihydrotestosterone; Androviron (Schering AG); Proviron (Schering AG); Mestoranum (Schering AG).
C20H32O2; mol wt 304.47.
C 78.90%, H 10.59%, O 10.51%.

Description and references

Prepn of acetate: R. Wiechert, DE 1122944 corresp to US 3361773 (1962, 1968 to Schering, AG).

Chemical structure

Properties

Crystals from ethyl acetate, mp 203.5-205.0°. [α]D20 +17.6° (c = 0.875 in CHCl3).

Derivative

Acetate.

Nomenclature

17β-Acetoxy-1α-methyl-5α-androstan-3-one.
C22H34O3; mol wt 346.50.
C 76.26%, H 9.89%, O 13.85%.

Properties

Crystals, mp 169-170°. [α]D25 +16.5° (c = 0.88 in CHCl3).

Note

This is a controlled substance (anabolic steroid): 21 CFR, 1308.13, as defined in 1300.01.

Therapeutic Category

Androgen.

Keywords

Androgen