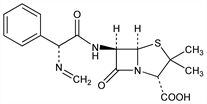
5925. Metampicillin

Nomenclature

CAS number: 6489-97-0
(2S,5R,6R)-3,3-Dimethyl-6-[[(2R)-(methyleneamino)phenylacetyl]amino]-7-oxo-4-thia-1-azabicyclo[3.2.0]heptane-2-carboxylic acid; d-6-[α-(methyleneamino)phenylacetamido]penicillanic acid; methampicillin; Bonopen (Belupo); Fedacilina (Fedal); Micinovo (Andreu); Pravacilin (Recordati); Ruticina (Bernabo); Suvipen (Midy); Viderpen (Sintex).
C17H19N3O4S; mol wt 361.42.
C 56.49%, H 5.30%, N 11.63%, O 17.71%, S 8.87%.

Description and references

Semi-synthetic antibiotic related to penicillin. Prepn: BE 661232, C.A. 65, 3884e (1966); Gradnik, GB 1081093, C.A. 68, 114595g (1968) (1965, 1967 both to E.R.A.S.M.E.). Synthesis: Gradnik et al., Farmaco Ed. Sci. 26, 20 (1971). Antibacterial activity studies: Sutherland et al., Chemotherapy 17, 145 (1972). Pharmacokinetics: Fleischmann et al., Farmaco Ed. Prat. 26, 106 (1971). Clinical studies: Farina, Minerva Med. 60, 1999 (1969); Ginocchi, ibid. 2003; Cardinale, Arrotta, ibid. 2011.

Chemical structure

Derivative

Sodium salt.

Nomenclature

CAS number: 6489-61-8
Ocelina (Roux-Ocefa); Magnipen (Clin-Comar-Byla); Venzoquimpe (Quimpe).
C17H18N3NaO4S; mol wt 383.40.
C 53.26%, H 4.73%, N 10.96%, Na 6.00%, O 16.69%, S 8.36%.

Therapeutic Category

Antibacterial.

Keywords

Antibacterial (Antibiotics); β-Lactams; Penicillins