6190. Milbemycin Oxime

Nomenclature

CAS number: 129496-10-2
CGA-179246; Interceptor (Novartis).

Description and references

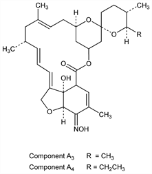
Mixture of milbemycin oximes containing ≈80% milbemycin A4 5-oxime ( C32H45NO7 ) and 20% milbemycin A3 5-oxime ( C31H43NO7 ). Prepn: J. Ide et al., EP 110667; eidem, US 4547520 (1984, 1985 both to Sankyo). Anthelmintic activity in experimentally induced infections in dogs: D. D. Bowman et al., Am. J. Vet. Res. 49, 1986 (1988); D. D. Bowman et al., ibid. 52, 64 (1991); in cats: B. L. Blagburn et al., The OVMA Newsletter (February, 1990), 1; in naturally acquired infections in dogs: D. D. Bowman et al., Am. J. Vet. Res. 51, 487 (1990). Physical data and toxicity: Ciba-Geigy Material Data Safety Sheet.

Chemical structure

Properties

Practically odorless white to pale yellow powder, mp 169.6-177.4°. pH of aqueous solution: 6.3. LD50 orally in mice: 1000-1500 mg/kg (Ciba-Geigy).

Therapeutic Category (Veterinary)

Anthelmintic.