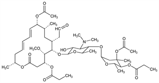
6204. Miokamycin

Nomenclature

CAS number: 55881-07-7
Leucomycin V 3B,9-diacetate 3,4B-dipropanoate; 9,3″-diacetylmidecamycin; MOM; ponsinomycin; Miocamycin (Meiji).
C45H71NO17; mol wt 898.04.
C 60.18%, H 7.97%, N 1.56%, O 30.29%.

Description and references

Macrolide antibiotic; deriv of midecamycin A1. Prepn: S. Inoue et al., JP Kokai 74 124087; eidem, US 4017607 (1974, 1977 both to Meiji Seika); S. Omoto et al., J. Antibiot. 29, 536 (1976); T. Nakamura et al., Chem. Lett. 1978, 1293. Prepn of noncrystalline form and comparison of physico-pharmaceutical properties: T. Sato et al., Chem. Pharm. Bull. 29, 2675 (1981). Antibacterial spectrum: K. Kawaharajo et al., J. Antibiot. 34, 436 (1981). Metabolism: T. Shomura et al., Chem. Pharm. Bull. 29, 2413 (1981). Laboratory and clinical pediatric studies: Y. Toyonaga et al., Jpn. J. Antibiot. 35, 1475 (1982), C.A. 98, 216y (1983). Clinical bioavailability: F. Fraschini et al., Int. J. Clin. Pharmacol. Res. 10, 293 (1989).

Chemical structure

Properties

Tasteless crystals from isopropanol, mp ≈220° (with coloration). [α]D25 -53° (c = 1.0 in chloroform). [α]D20 -74° (c = 1 in methanol). uv max (methanol): 231 nm (E1%1cm 342). Sol in methanol, acetone, chloroform. Very slightly sol in water.

Therapeutic Category

Antibacterial.

Keywords

Antibacterial (Antibiotics); Macrolides