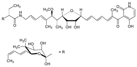
6225. Mocimycin

Nomenclature

CAS number: 50935-71-2
Antibiotic MYC 8003; delvomycin; kirromycin; MYC-8003.
C43H60N2O12; mol wt 796.94.
C 64.81%, H 7.59%, N 3.52%, O 24.09%.

Description and references

Antibiotic produced by Streptomyces ramocissimus. Isoln and properties: C. Vos, J. Den Admirant, DE 2140674; eidem, US 3927211; US 3923981 (1972, 1975, 1975 all to Gist-Brocades). Structural studies: C. Vos, P. E. J. Verwiel, Tetrahedron Lett. 1973, 2823, 5173. Total structure and identity with kirromycin: H. Maehr et al., J. Am. Chem. Soc. 95, 8449 (1973). Absolute stereochemistry: eidem, ibid. 96, 4034 (1974). Conversion to aurodox: H. Maehr et al., J. Antibiot. 32, 361 (1979). Biological studies: H. Wolf et al., Proc. Natl. Acad. Sci. USA 71, 4910 (1974); J. A. M. Van De Klundeit et al., FEBS Lett. 81, 303 (1977). Review of chemistry: H. Maehr et al., Can. J. Chem. 58, 501-526 (1980). Review of properties and actions: A. Parmeggiani, G. Sander, Topics in Antibiotic Chemistry vol. 5, P. G. Sammes, Ed. (Halsted Press, New York, 1980) pp 159-221.

Chemical structure

Properties

Yellow solid. Weakly acidic. [α]D22 -60° (c = 1 in methanol). uv max (methanol/water): 233, 276, 286, 327 nm. Sol in chloroform, methyl isobutyl ketone, butyl acetate, ethyl acetate, acetone, methanol, alkaline soln. Slightly sol in CCl4, benzene. Insol in diethyl ether, petr ether, water, acid soln. Stable for 4 hrs in 50% aq methanol at pH 3-12. The solid antibiotic stored at 25° and 37° and low relative humidity shows no activity loss for 5 mos. Stable for 3 mos at 25°, 100% relative humidity; for 2 mos at 37°, 100% relative humidity. LD50 i.p. in mice: >1000 mg/kg (DE 2140674).

Derivative

1-Methyl deriv see Aurodox.

Derivative

5,6-Dihydromocimycin.
C43H62N2O12; mol wt 798.96.
C 64.64%, H 7.82%, N 3.51%, O 24.03%.

Description and references

Isoln from S. ramocissimus and properties: H. Jongsma et al., DE 2658977 (1977 to Gist-Brocades), C.A. 87, 135078y (1977); see also C. Vos et al., US 4062948 (1977 to Gist-Brocades).

Properties

Pale yellow solid, dec begins at 123°. [α]D20 -85° (1% methanolic soln). uv max (methanol/water): 233.5, 267, 291, 333 nm (ε 63000, 23000, 19000, 18000). Solubility similar to mocimycin in most solvents.

Use

Animal growth promotant.