6246. Monensin

Nomenclature

CAS number: 17090-79-8
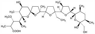
2-[5-Ethyltetrahydro-5-[tetrahydro-3-methyl-5-[tetrahydro-6-hydroxy-6-(hydroxymethyl)-3,5-dimethyl-2H-pyran-2-yl]-2-furyl]-2-furyl]-9-hydroxy-β-methoxy-α,γ,2,8-tetramethyl-1,6-dioxaspiro[4.5]decane-7-butyric acid; monensic acid (obsolete); A-3823A.
C36H62O11; mol wt 670.87.
C 64.45%, H 9.32%, O 26.23%.

Description and references

Polyether antibiotic. Major factor in antibiotic complex isolated from Streptomyces cinnamonensis. Discovery and isolation: Haney, Hoehn, Antimicrob. Agents Chemother. 1967, 349. Production: Haney, Hoehn, US 3501568 (1970 to Lilly). Structure: Agtarap et al., J. Am. Chem. Soc. 89, 5737 (1967). Crystal structure studies: Lutz et al., Helv. Chim. Acta 53, 1732 (1970); ibid. 54, 1103 (1971). Fermentation studies: Stark et al., Antimicrob. Agents Chemother. 1967, 353. Chemistry: Agtarap, Chamberlin, ibid. 359. Stereocontrolled total synthesis: T. Fukuyama et al., J. Am. Chem. Soc. 101, 262 (1979); D. B. Collum et al., ibid. 102, 2117, 2118, 2120 (1980). 13C-NMR study: J. A. Robinson, D. L. Turner, Chem. Commun. 1982, 148. Biosynthesis: Day et al., Antimicrob. Agents Chemother. 4, 410 (1973). Review: Stark, “Monensin, A New Biologically Active Compound Produced by a Fermentation Process”, in Fermentation Advances, Pap. Int. Ferment. Symp., 3rd, 1968, D. Perlman, Ed. (Academic Press, New York, 1969) pp 517-540.

Chemical structure

Properties

Crystals, mp 103-105° (monohydrate). [α]D +47.7°. pKa 6.6 (in 66% DMF). Very stable under alkaline conditions. Slightly sol in water; more sol in hydrocarbons; very sol in other organic solvents. LD50 of monensin complex in mice, chicks (mg/kg): 43.8 ± 5.2, 284 ± 47 orally (Haney, Hoehn).

Derivative

Sodium salt.

Nomenclature

Coban (Elanco); Romensin (Elanco); Rumensin (Elanco).
C36H61NaO11; mol wt 692.85.
C 62.41%, H 8.87%, Na 3.32%, O 25.40%.

Properties

mp 267-269°. [α]D +57.3° (methanol). Slightly sol in water; more sol in hydrocarbons; very sol in other organic solvents.

Therapeutic Category (Veterinary)

Coccidiostat. Feed additive to improve feed efficiency in ruminants.