6298. Mucochloric Anhydride

Nomenclature

CAS number: 4412-09-3
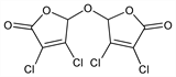
5,5′-Oxybis[3,4-dichloro-2(5H)-furanone]; bis[3,4-dichloro-2(5)-furanonyl] ether; GC-2466.
C8H2Cl4O5; mol wt 319.91.
C 30.04%, H 0.63%, Cl 44.33%, O 25.01%.

Description and references

Prepd by refluxing mucochloric acid with benzenesulfonic acid in a mixture of benzene and dioxane: Mowry, J. Am. Chem. Soc. 72, 2535 (1950).

Chemical structure

Properties

Crystals from benzene + dioxane, α-isomer (racemate): mp 141-143°, β-isomer (meso form): mp 180°. Substantially insol in water. Sol in many organic solvents, such as acetone, xylene, cyclohexanone, methylnaphthalenes.

Use

Fungicide. Ref: Gilbert, US 2861919 (1958 to Allied Chem.).