6473. Neridronic Acid

Nomenclature

CAS number: 79778-41-9
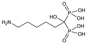
(6-Amino-1-hydroxyhexylidene)bisphosphonic acid.
C6H17NO7P2; mol wt 277.15.
C 26.00%, H 6.18%, N 5.05%, O 40.41%, P 22.35%.

Description and references

Bisphosphonate antiresorptive agent. Prepn: J. Jary et al., BE 885139; eidem, US 4304734 (both 1981 to Vysoka Skola Chem.-Tech.); and characterization of monosodium salt: M. Neves et al., Nucl. Med. Biol. 29, 329 (2002). Crystal structure: V. M. Coiro, D. Lamba, Acta Crystallogr. C45, 446 (1989). Clinical study in Paget's disease: S. Adami et al., Clin. Exp. Rheumatol. 20, 55 (2002); in osteogenesis imperfecta: idem et al., J. Bone Miner. Res. 18, 126 (2003); in osteoporosis: V. Braga et al., Bone 33, 342 (2003).

Chemical structure

Properties

mp 245°.

Derivative

Monosodium salt.

Nomenclature

CAS number: 80729-79-9
Neridronate sodium; Nerixia (Abiogen).
C6H16NNaO7P2; mol wt 299.13.
C 24.09%, H 5.39%, N 4.68%, Na 7.69%, O 37.44%, P 20.71%.

Properties

White solid, mp 263-266° (hemihydrate).

Therapeutic Category

Bone resorption inhibitor.

Keywords

Bone Resorption Inhibitor; Antiosteoporotic; Antipagetic