6654. Nitrovin

Nomenclature

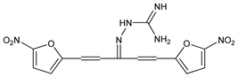
CAS number: 804-36-4
2-[3-(5-Nitro-2-furanyl)-1-[2-(5-nitro-2-furanyl)ethenyl]-2-propenylidene]hydrazinecarboximidamide; [[3-(5-nitro-2-furyl)-1-[2-(5-nitro-2-furyl)vinyl]allylidene]amino]guanidine; sym-bis(5-nitro-2-furfurylidene)acetone guanylhydrazone; 1,5-bis(5-nitro-2-furyl)-3-pentadienone guanylhydrazone; 1,5-bis(5-nitro-2-furyl)-3-pentadienone amidinohydrazone; Panazon (Toyama); Payzone (Am. Cyanamid).
C14H12N6O6; mol wt 360.28.
C 46.67%, H 3.36%, N 23.33%, O 26.64%.

Description and references

Prepn: Uota et al., JP 52 2673 (1952 to Toyama), C.A. 48, 2115h (1954); Uoda, Tanizaki, JP 64 4479 (1964 to Fukuju Pharm.), C.A. 62, 10412f (1965).

Chemical structure

Properties

Blackish violet crystals from ethyl alcohol, mp 217° (dec).

Derivative

Hydrochloride.

Properties

mp 280° (dec).

Therapeutic Category (Veterinary)

Growth promoter; antibacterial.